Imagem de fundo

Assinale a alternativa que indica corretamente a expressão da variação de temperatura e...

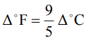
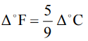
Assinale a alternativa que indica corretamente a expressão da variação de temperatura em graus Fahrenheit ( ºF ) em função da variação de temperatura em graus Celsius ( ºC ).


A


B


C


D