Imagem de fundo

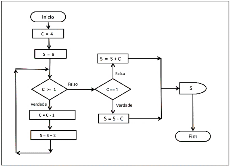
Analise o seguinte fluxograma:Após a execução do algoritmo será exibido ao usuário o va...

Questão 42

Analise o seguinte fluxograma:



Após a execução do algoritmo será exibido ao usuário o valor:

A

14

B

15

C

16

D

17

E

18