
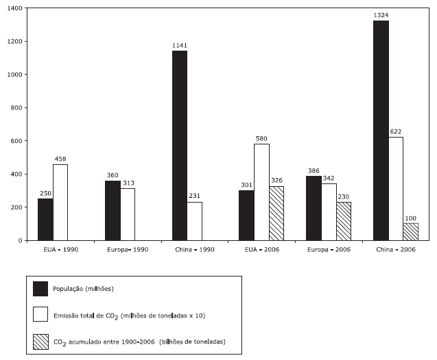
Quais foram as unidades geográficas que mais contribuíram para o efeito estufa per capita no ano 1990, total no ano de 2006, e total entre 1900 e 2006, respectivamente?

EUA _ China _ EUA
EUA _ EUA _ Europa
Europa _ EUA _ China
China _ Europa _ EUA
China _ China _ EUA