Imagem de fundo

Considere que os dispositivos do circuito abaixo sejam todos ideais. É correto afirmar ...

Considere que os dispositivos do circuito abaixo sejam todos ideais.

É correto afirmar que:


A

o circuito é um filtro passivo tipo passa-altas


B

a freqüência de corte do circuito é de ω= RC.


C

o circuito pode realizar pólos complexos.


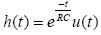
D

a resposta ao impulso do circuito, no domínio do tempo é.


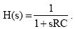
E

a função de transferência é