Provas
Questões
Discursivas
Simulados
Disciplinas
Concursos
Todos os concursos
Principais cargos
Principais bancas
Principais regiões
Principais anos
Principais órgãos
Programa de Estudo
Assuntos frequentes
Planos
Tutoriais
Início
Questões
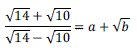
Na expressãoos números a e b são inteiros. Então, b − a é igual a
1
Q1096174
Matemática
Expressões Numéricas
Teclas de Atalhos
Compartilhar
Ano:
2019
Banca:
Fundação Getúlio Vargas - FGV
Prova:
FGV - Prefeitura de Salvador - Professor - Área: Matemática - 2019
Na expressão
os números
a
e
b
são inteiros.
Então,
b
−
a
é igual a
A
25.
B
26.
C
27.
D
28.
E
29.
Responder
Voltar
Comentários
Marcadores
Anotações
Estatísticas
Reportar Erro