Início
Provas
Questões
Discursivas
Simulados
Disciplinas
Concursos
Programa de Estudo
Assuntos frequentes
Planos
Tutoriais
Entrar
Cadastre-se grátis
Início
Questões
O cosseno do menor ângulo formado pelos ponteiros de um relógio às 14 horas e 30 minuto...
1
Q1072759
Teclas de Atalhos
Compartilhar
Ano:
2011
Banca:
Exército Brasileiro - Exercito
Prova:
Exército - ESPCEX - Cadete - Prova de Matemática - 2011
O cosseno do menor ângulo formado pelos ponteiros de um relógio às 14 horas e 30 minutos vale
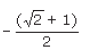
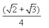
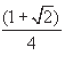
A
B
C
D
E
Responder
Voltar