Provas
Questões
Discursivas
Simulados
Disciplinas
Concursos
Todos os concursos
Principais cargos
Principais bancas
Principais regiões
Principais anos
Principais órgãos
Programa de Estudo
Assuntos frequentes
Planos
Tutoriais
Início
Questões
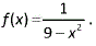
Assinale a alternativa que apresenta uma primitiva da função
1
Q1141246
Matemática
Integrais
Teclas de Atalhos
Compartilhar
Ano:
2018
Banca:
Instituto Quadrix - Quadrix
Prova:
Quadrix - SEDUC GO - Professor - Área: Matemática - 2018
Assinale a alternativa que apresenta uma primitiva da função
A
B
C
D
E
Responder
Voltar
Comentários
Marcadores
Anotações
Estatísticas
Reportar Erro