Imagem de fundo

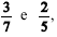
Suponha que as probabilidades de os planos P 1 e P 2 , referidos no texto, terem 100% ...

Suponha que as probabilidades de os planos P 1 e P 2 , referidos no texto, terem 100% de suas metas atingidas sejam, respectivamente, iguais a e que ambos estejam em andamento independentemente um do outro. Nesse caso, a probabilidade de pelo menos um desses planos ter suas metas plenamente atingidas é superior a 0,7.


C
Certo

E
Errado