Provas
Questões
Discursivas
Simulados
Disciplinas
Concursos
Todos os concursos
Principais cargos
Principais bancas
Principais regiões
Principais anos
Principais órgãos
Programa de Estudo
Assuntos frequentes
Planos
Tutoriais
Início
Questões
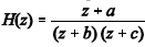
O sistema linear a tempo discreto cuja função de transferência é dada por será instável...
1
Q854611
Engenharia Elétrica e Engenharia Eletrônica
Modelagem de sistemas dinâmicos, função de transferência e matrizes de estado
Teclas de Atalhos
Compartilhar
Ano:
2016
Banca:
Centro de Seleção e de Promoção de Eventos UnB - CESPE CEBRASPE
Prova:
CESPE/CEBRASPE - POLITEC PE - Perito Criminal - Área Engenharia de Redes de Comunicação - 2016
O sistema linear a tempo discreto cuja função de transferência é dada por
será instável se
A
a = 1/3, b = 1/10 e c = 1/5.
B
a = 1/3, b = 2/5 e c = 1/10.
C
a = 1/5, b = 1/10 e c = 1/5.
D
a = 1/2, b = 3/2 e c = 2/5.
E
a = 1/10, b = 1/3 e c = 1/2.
Responder
Voltar
Comentários
Marcadores
Anotações
Estatísticas
Reportar Erro