Imagem de fundo

Em uma cidade, existem dois hospitais especializados em atender pessoas com queimaduras...

Em uma cidade, existem dois hospitais especializados em atender pessoas com queimaduras. Suspeita-se que o hospital B tenha taxa de admissão duas vezes maior do que o hospital A. Para duas amostras aleatórias retiradas desses hospitais, em que representa o número de pacientes admitidos no hospital i, i = 1,2 observou-se y1 = 8 e y2 = 27.Supondo que yi possa ser modelado segundo uma distribuição Poisson i) = 1,2,. Sobre esse problema, assinale a alternativa correta.


A

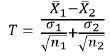
O teste de hipóteses mais adequado a ser usado é o teste t-Student para comparação de duas médias populacionais com variâncias iguais e desconhecidas. A estatística do teste terá distribuição t-Student com n1 + n2 - 2 graus de liberdade. A estatística do teste pode ser calculada usando a informação E(x) = Var(X) = λ que e, portanto T = 0,54.


B

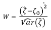
As hipóteses a serem testadas são  Ho: ζ = 0 versus H1 : ζ  ≠ 0 em que ζ = λ 2 - 2 λ1. O teste mais adequado nesse caso é o teste Wald e sua estatística do teste:  terá distribuição qui-quadrado com 2 graus de liberdade . Pela aplicação do método Delta, pode-se calcular a estatística do teste que é igual a W = 0,19.


C

O teste de hipóteses mais adequado a ser usado é o teste t-Student para comparação de duas médias populacionais com variâncias diferentes e desconhecidas. A estatística do teste em que Sp é o desvio padrão ponderado e T terá distribuição t-Student com n1 + n2+ - 2 graus de liberdade. A estatística do teste pode ser calculada usando a informação que E(X) = Var(X) = λ e, portanto T = 1,78.


D
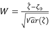
As hipóteses a serem testadas são Ho: ζ = 0 versus H1 : ζ  ≠ 0 em que ζ = 2λ1 - λ2. O teste de hipóteses mais adequado nesse caso é o teste Wald, com estatística do teste dada por  que segue distribuição qui-quadrado com 1 grau de liberdade  . Usando o método Delta, pode-se estimar   e então calcular a estatística do teste W = 3,58.

E

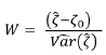
As hipóteses a serem testadas são Ho = 0 versus H1 : ζ  ≠ 0 em que ζ = λ2 - 2λ1 . O teste de hipóteses mais adequado nesse caso é o teste Wald, com estatística do teste dada por  que segue distribuição qui-quadrado com 1 grau de liberdade .Usando o método Delta, pode-se estimar  e então calcular a estatística do teste W = 2,05.