Provas
Questões
Discursivas
Simulados
Disciplinas
Concursos
Todos os concursos
Principais cargos
Principais bancas
Principais regiões
Principais anos
Principais órgãos
Programa de Estudo
Assuntos frequentes
Planos
Tutoriais
Início
Questões
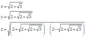
Considere os números reais x , y e z , tais que: Simplificando a expressão , obtém-se
1
Q1131556
Matemática
Racionalização de Denominadores
Teclas de Atalhos
Compartilhar
Ano:
2018
Banca:
Escola Preparatória de Cadetes do Ar - EPCAR
Prova:
EPCAR - EPCAR - Cadetes do Ar - 2018
Considere os números reais
x
,
y
e
z
, tais que:
Simplificando a expressão
, obtém-se
A
2 − √3
B
1
C
2 + √3
D
2√3
Responder
Voltar
Comentários
Marcadores
Anotações
Estatísticas
Reportar Erro