Imagem de fundo

Dois funcionários do Hemope resolvem uma questão de matemática proposta pelo filho de u...

1
Q195486
Anulada Esta questão foi anulada pela banca examinadora.
Teclas de Atalhos
Compartilhar

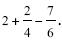
Dois funcionários do Hemope resolvem uma questão de matemática proposta pelo filho de um deles. Resolva a expressão: Assinale a alternativa que corresponde ao resultado encontrado por eles.


A
1/6

B
1/5

C
1/8

D
1/9

E
1/7