Provas
Questões
Discursivas
Simulados
Disciplinas
Concursos
Todos os concursos
Principais cargos
Principais bancas
Principais regiões
Principais anos
Principais órgãos
Programa de Estudo
Assuntos frequentes
Planos
Tutoriais
Início
Questões
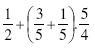
A expressão é igual a
1
Q195823
Matemática
Fração Restante
Teclas de Atalhos
Compartilhar
Ano:
2008
Banca:
Universidade de Pernambuco - UPE
Prova:
UPE - Prefeitura de Camaragibe - Merendeira - 2008
A expressão
é igual a
A
2/3
B
2/5
C
7/3
D
3/2
E
5/2
Responder
Voltar
Comentários
Marcadores
Anotações
Estatísticas
Reportar Erro