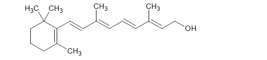
A vitamina A é lipossolúvel, acumulando-se na parte gordurosa do organismo, portanto não se dissolve bem em água e não é facilmente excretada pela urina. O seu excesso pode causar danos ao fígado, rins e ossos. Observe a estrutura molecular plana da vitamina A (retinol).

Assinale a alternativa que apresenta uma função orgânica presente na estrutura molecular plana da vitamina A.