Imagem de fundo

Analise o seguinte diagrama entidade-relacionamento de um banco de dados relacional. O ...

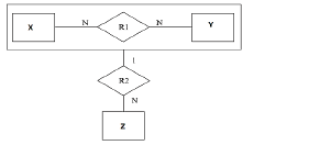
Analise o seguinte diagrama entidade-relacionamento de um banco de dados relacional.

O retângulo que abrange as entidades X e Y e o relacionamento R1 está indicando uma?

A
Especialização.
B
Normalização.
C
Multivalorização.
D
Indexação.
E
Agregação.