Imagem de fundo

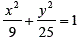
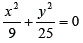
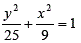
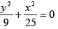
Para passar num concurso público o candidato deve descrever a equação da figura a segui...

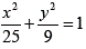
Para passar num concurso público o candidato deve descrever a equação da figura a seguir:

Desse modo, a equação correta da figura é:

A
B
C
D
E