Imagem de fundo

Para quantos valores de k o sistema linearpossui soluções não nulas?

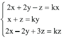
Para quantos valores de k o sistema linear



possui soluções não nulas?


A

Nenhum.


B

Um único valor positivo.


C

Três valores, sendo dois negativos e um positivo.


D

Três valores, sendo dois positivos e um negativo.


E

Somente dois valores positivos.