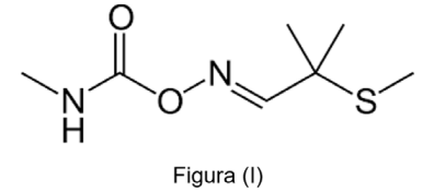
A substância Aldicarb, Temik®, cuja fórmula pode ser observada na Figura (I), é um praguicida de toxidez elevada, registrado no Brasil para uso exclusivamente agrícola.

Conhecido popularmente como chumbinho, o praguicida é responsável por inúmeros casos de intoxicação em seres humanos e animais domésticos. Considerem-se os dados em g/mol abaixo:
C=12, H=1, O=16, N=14 e S=32
Com base nas informações, a massa molecular da fórmula mínima do Aldicarb é igual a:
66 g/mol
126 g/mol
178 g/mol
190 g/mol